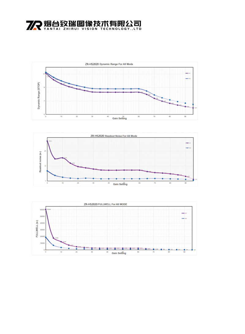
ZR-HS2020
- 產品名稱: ZR-HS2020
- 產品分類: 千兆網線陣相機
- 公司名稱: 煙臺致瑞圖像技術有限公司
- 添加時間: 22/06/02
- 分 享:
產品詳情
相關視圖
資料下載



以上是關于Tags:ZR-HS2020廠家,ZR-HS2020哪家好,ZR-HS2020價格的詳細介紹
地區產品: 上海ZR-HS2020,武漢ZR-HS2020,鄭州ZR-HS2020,北京ZR-HS2020,天津ZR-HS2020,沈陽ZR-HS2020,西安ZR-HS2020,山東ZR-HS2020,河北ZR-HS2020,大連ZR-HS2020。
地區產品: 上海ZR-HS2020,武漢ZR-HS2020,鄭州ZR-HS2020,北京ZR-HS2020,天津ZR-HS2020,沈陽ZR-HS2020,西安ZR-HS2020,山東ZR-HS2020,河北ZR-HS2020,大連ZR-HS2020。
點擊次數: 更新時間:22/06/02 13:36:06





千兆網線陣相機






